- 提供【批次建立管制圖】的功能,使用者可在介面上一次建立數個管制圖,也可在 Excel 建立好檔案直接載入到 Fashion SPC。
- 即時的顯示數據:超出規格上、下限以顏色顯示。
- 即時顯示管制圖:A、B、C區 (趨勢規則異常) 點以 黃、藍、綠、紅顏色顯示。
- 提供趨勢規則內容自訂準則 (單雙邊公差皆可使用)。
- 即時監視功能,立即監視全廠即時的製程狀況,可自設監視站及監視內容 。
- 嚴格管控【登入者】及【Fashion SPC系統】可使用的範圍。
- 彈性化建構專屬自己公司 SPC 主固定層別及 Data 次變動層別內容。
- 可記憶常用清單。
- 個人化設定管理 (密碼、樣式、監視內容)。
- 提供繁、簡、英語言,可針對登入者自由設定。
- 提供管理者【帳號管理】、【登出入人員記錄】、【密碼安全性設定】、【網域認證的機制】。
統計分析
- 可依各篩選條件彙整 CPK 一覽表。
- 運用【固定層別】將「多張」管制圖彙整成「一張」管制圖 。
- 運用【變動層別】將「一張」管制圖折解成「多張」管制圖 。
- 多元化的資料查詢方式,可將不同規格的資料合併查詢資料及繪製趨勢圖。
- 以新事件為未處理狀態列出異常處理清單。
- 可將【異常原因】及【採取措施】自動繪製柏拉圖分析 。
- 可繪製樞紐分析。
- 可自訂多張管制圖合併繪製。
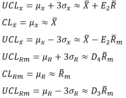
- 統計參數:PPK、PP、CPK、CP、Ca、UCL、LCL、RUCL、RLCL、預估不良率(PPM)、Grade、Estimated Sigma Level…等。
- 統計設定:「浮動」管制上下限、「固定」管制上下限、單邊公差、雙邊公差。
- 檢定方式:常態分配、韋伯分配 、指數分配 、對數分配。
進階、批次設定
- 批次設定要監控的異常處理事趨勢規則。
- 以區間的歷史資料整批自動更新管制界線,可計算區間的管制界線及 CPK 值,自動替換例行性的管制界線值變更。
資料擷取、資料匯入
- 可將 .XLS;.CSV;.TXT;DB Table 檔案輕鬆匯入 Fashion SPC。
- Fashion SPC 的數據也可轉出到 Excel 報表裡。

圖一系統操作畫面|管制圖

圖二系統操作畫面|常態分配圖

圖三系統操作畫面|同時多張管制圖輸入-清單方式輸入

圖四系統操作畫面|同時多張管制圖輸入-自動切換

圖五系統操作畫面|計數型 – 樞紐分析統計

圖六系統操作畫面|計數型 – 柏拉圖
製程能力分析
製程能力分析 (Process Capability Analysis) 數據常因測定單位不同,而無法相互比較製程特性在品質上的好壞。因此,定義出品質指標來衡量不同特性的品質,在工業上是很重要的一件事情。 製程能力指數是依特性值的規格及製程特性的中心位置及一致程度,來表示製程中心的偏移及製程均勻度。基本上,製程能力分析必須先假設製程是在管制狀態下進行 ,也就是說製程很穩定,以及特性分配為常態分配;如此,數據的分析才會有合理的依據。
製程能力指數 Cp、Pp、CPU、CPL (精密度;Precision): 表示製程特性的一致性程度,值越大越集中,越小越分散。

雙邊能力指數(長期)
適用於X-R,X-Rm圖

雙邊能力指數(長期)
適用於X-S圖
製程能力指數 Ca 或 k (準確度;Accuracy): 表示製程特性中心位置的偏移程度,值等於零,即不偏移。值越大偏移越大,越小偏移越小。
綜合製程能力指數 Cpk: 同時考慮偏移及一致程度。